small logo
Arithmetic of Complex Numbers
(Divide)
MathBitsNotebook.com

Topical Outline | Algebra 2 Outline | MathBits' Teacher Resources

Terms of Use    Contact Person: Donna Roberts
divider
Practice Page
Directions: Choose the best answers.

1.
Which choice is equivalent to 1over2mi?
eyes5
Choose:
 
2 + i
-2 - i
 
2piover5
2piover3



2.
Which choice is equivalent to (2 + i) ÷ (3 + i) ?
eyes6
Choose:
 
65o8
6pio8
 
7p5io10
7pio10



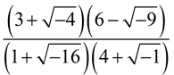
3.
Which choice is equivalent to (-3i3 + 3i + 2) divided by (1 - i) ?
eyes9

Choose:
 
2 - 4i
2 + 4i
 
-2 - 4i
-2 + 4i



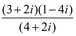
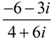
4.
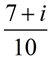
Simplify: 7412

eyes8
Choose:
 
3 + 2i
5 - i
 
15 + 10i
7 + 2i



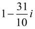
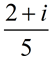
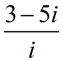
5.
Simplify: 351
eye10
Choose:
 
5 - 3i
-5 - 3i
 
5 + 3i
-5 + 3i



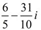
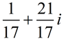
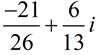
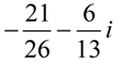
6.
Divide:6346
eyes2
Choose:
 
646b
646c
 
646a
646d



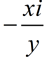
7.
Which choice is NOT equivalent to xy ?
eyes7
Choose:
 
xya
xyb
 
xyd
xyc



8.
Simplify: cpnn1
eyes1
Choose:
 
cpnn1b
cpnn1c
 
ccpn1a
cd8n



9.
Divide: (4 + 2i) ÷ (3 - i)
eyes3
Choose:
 
1 - i
1 + i
 
-1 + i
-1 - i




10.
Simplify: cpnn2
eyes4
Choose:
 
cd10b
cd10a
 
cpnn2b
cpnn2a

 

divider

NOTE: The re-posting of materials (in part or whole) from this site to the Internet is copyright violation
and is not considered "fair use" for educators. Please read the "Terms of Use".