|
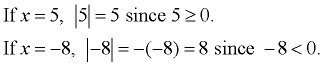
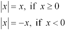
The absolute value of a number is the distance between the number and zero on the real number line. Distances are measured as positive units (or zero units). Consequently, absolute value is never negative. Absolute value answers the question "How far from zero?", but not the question "In which direction from zero?". The notation used for absolute value is two vertical bars.

Examples: |
1. | − 3 | = 3 |
2. − | − 7 | = − 7 |
|
3. | 0 | = 0 |
4. | − 5 |2 = 25 |
|
5. − | (− 8)2 | = − 64 |
6. − | − 3 |2 = − 9 |
|
7. | 3 | + | − 7 | − | − 2 | = 8 |
8. | − 8 | + ( − 9) + | − 14 | + ( − 2) = 11 |
|
9.  |
10. | − 3 + 6 |2 + | − 3 | = 12 |
Things to Consider:
Measuring Distance:
| 8 − 3 | = 5 and | 3 − 8 | = 5
The expression | a − b | represents the distance from a to b on the number line. This distance is the same when measured forward from 3 to 8, or backward from 8 to 3.
|
Properties:
| 3 x 7 | = | 3 | x | 7 |
1. | a • b | = | a | • | b | (multiply)
2. | a / b | = | a | / | b | (divide)
3. | a + b | ≠ | a | + | b | (add)
4. | a - b | ≠ | a | - | b | (subtract)
5. | an | = | a |n
(power)
6. (called the Triangle Inequality)
|
Square Root Definition:
 |
Graph:
|
Since absolute value always yields a positive result, or zero, the graph of absolute value plots only y-values that are positive, or zero. The graph resides above the x-axis (plus the origin), in quadrants I and II.
y = | x |  |
|
Negating absolute value creates y-values that
are negative or zero. The graph resides in
quadrants III and IV (plus the origin).
|
Subtracting 4 from x moves the absolute value
graph horizontally 4 units to the right. The
y-values remain positive or zero. |
|
For help with absolute value
on your calculator,
click here. |
|
|

NOTE: The re-posting of materials (in part or whole) from this site to the Internet
is copyright violation
and is not considered "fair use" for educators. Please read the "Terms of Use". |
|
|